Explore ideas, tips guide and info Sebastian Livingstone-Learmonth
Estate Agent Not Sending Memorandum Of Sale
Estate Agent Not Sending Memorandum Of Sale
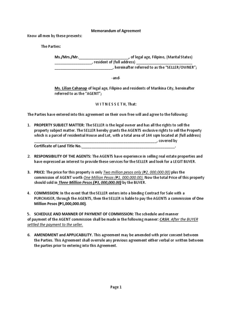
Estate Agent Not Sending Memorandum Of Sale. Memorandum of Agreement Seller and Agent PDF Sales Prices Do not send or request any private messages for any reason without express permission from the mods; Please report posts or comments which do not follow the rules I am a bot, and this action was performed automatically However I am yet to receive Memorandum of Sale from the estate agent
What is a Memorandum of Sale? Cairds Estate Agents from www.cairds.co.uk
You, as the homebuyer, are probably getting worried and wondering why you haven't received the memorandum of sale after getting an offer accepted on a home You could try this tactic - ask the estate agent you're buying through to contact your estate agent, to ask if a memorandum of sale has been.
What is a Memorandum of Sale? Cairds Estate Agents
If you are having a problem with the agent failing to send a memorandum of sale days after the sale is agreed on, then this is not a very good sign that things will proceed to the end The Memorandum of Sale reflects the understanding of the parties in advance of proceeding to the contract stage The estate agent is not sending a memorandum of sale! If your agent is slow in issuing a Memorandum Of Sale for the property you're looking to buy, it may not a good sign of things to come
Template Of Memorandum Of Agreement. You could try this tactic - ask the estate agent you're buying through to contact your estate agent, to ask if a memorandum of sale has been. The estate agent is not sending a memorandum of sale! If your agent is slow in issuing a Memorandum Of Sale for the property you're looking to buy, it may not a good sign of things to come
Eugene Oregon Memorandum of Contract of Sale of Real Estate Memorandum Of Sale Template US. The Memorandum of Sale reflects the understanding of the parties in advance of proceeding to the contract stage It has been 8 days since my offer was accepted and sent my DIP and solicitor details to the estate agent